Официальные письма от государственных органов по привлечению к административной ответственности за отсутствие публикации сообщений в Федресурсе
О распределении прибыли/выплате дивидендов без отказа от моратория в Федресурсе:
Уведомление ФНС Саратовской области № 7188 от 08.09.2022г.
Уведомление ФНС Саратовской области № 7188 от 08.09.2022г.
О вызове в ФНС для дачи пояснений о неправомерной выплате дивидендов без отказа от моратория в Федресурсе
Уведомление ИФНС по Верх-Исетскому району г. Екатеринбурга о вызове в налоговый орган налогоплательщика плательщика сбора, плательщика страховых взносов, налогового агента)
Требование ИФНС России по Верх-Исетскому району г. Екатеринбурга о предоставлении пояснений
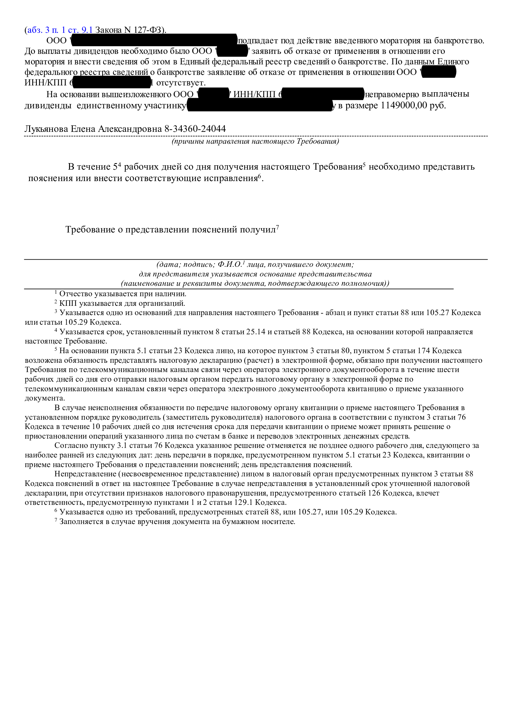
Требование Межрайонной ИФНС №25 по Свердловской области о предоставлении пояснений
Требование Межрайонной ИФНС №25 по Свердловской области о предоставлении пояснений
Требование Межрайонной ИФНС №25 по Свердловской области о предоставлении пояснений
Требование Межрайонной ИФНС №12 по Свердловской области о предоставлении пояснений
Уведомление Межрайонной ИФНС №28 по г. Новоуральску от 10.11.2022 г. о вызове в налоговый орган налогоплательщика плательщика сбора, плательщика страховых взносов, налогового агента)
Оставьте заявку на публикацию сообщения в Федресурсе
В течении 7 минут с Вами свяжется наш специалист и расскажет о дальнейших действиях
Скачайте Чек-лист всех обязательных сведений для внесения в Федресурс в 2022 году
что бы избежать протокола от Прокуратуры, дисквалификации должностного лица от 1-3 лет и административного штрафа 50 000 р.
Куда Вам отправить файл “Чек-лист всех обязательных сведений для внесения в Федресурс в 2022 году”
в формате pdf - 1,2 Мб
в формате pdf - 1,2 Мб